Tällä sivulla
Tulipanos
Johdanto
Fire Bet on suosittu sivupanos crapsissa, joka maksaa voittoja heittäjän keräämien ja voittamien ainutlaatuisten pisteiden määrän perusteella. Tunnen kolme voittotaulukkoa, jotka ovat seuraavat. Kunkin taulukon talon etu on taulukon alimmalla rivillä. Voittotaulukko 1 on yleisin. Voitot ilmoitetaan suhteessa "yksi". Negatiivinen yksi tarkoittaa tappiota.
Fire Bet -voittotaulukot
| Tehdyt pisteet | Maksutaulukko A | Maksutaulukko B | Maksutaulukko C |
|---|---|---|---|
| 6 | 999 | 2000 | 299 |
| 5 | 249 | 200 | 149 |
| 4 | 24 | 10 | 29 |
| 3 | -1 | -1 | 6 |
| 2 | -1 | -1 | -1 |
| 1 | -1 | -1 | -1 |
| 0 | -1 | -1 | -1 |
| Talon etu | 20,76 % | 24,86 % | 20,73 % |
Seuraavassa on analyysini voittotaulukosta A. Oikeassa alakulmassa näkyy talon etu 20,76 %.
Fire Bet — Maksutaulukko A
| Tehdyt pisteet | Maksaa | Todennäköisyys | Palata |
|---|---|---|---|
| 0 | -1 | 0,593939 | -0,593939 |
| 1 | -1 | 0,260750 | -0,26075 |
| 2 | -1 | 0.101275 | -0,101275 |
| 3 | -1 | 0,033434 | -0,033434 |
| 4 | 24 | 0,008798 | 0.211156 |
| 5 | 249 | 0.001640 | 0.408343 |
| 6 | 999 | 0,000162 | 0,162272 |
| Kokonais | 1 | -0,207628 |
Seuraavassa on analyysini maksutaulukosta B. Oikeassa alakulmassa näkyy talon etu 24,86 %.
Fire Bet — Maksutaulukko B
| Tehdyt pisteet | Maksaa | Todennäköisyys | Palata |
|---|---|---|---|
| 0 | -1 | 0,593939 | -0,593939 |
| 1 | -1 | 0,260750 | -0,26075 |
| 2 | -1 | 0.101275 | -0,101275 |
| 3 | -1 | 0,033434 | -0,033434 |
| 4 | 10 | 0,008798 | 0,087982 |
| 5 | 200 | 0.001640 | 0,327987 |
| 6 | 2000 | 0,000162 | 0,324869 |
| Kokonais | 1 | -0,248562 |
Seuraavassa on analyysini maksutaulukosta C. Oikeassa alakulmassa näkyy talon etu 20,73 %.
Fire Bet — Maksutaulukko C
| Tehdyt pisteet | Maksaa | Todennäköisyys | Palata |
|---|---|---|---|
| 0 | -1 | 0,593939 | -0,593939 |
| 1 | -1 | 0,260750 | -0,26075 |
| 2 | -1 | 0.101275 | -0,101275 |
| 3 | 6 | 0,033434 | 0.200605 |
| 4 | 29 | 0,008798 | 0,255147 |
| 5 | 149 | 0.001640 | 0,244350 |
| 6 | 299 | 0,000162 | 0,048568 |
| Kokonais | 1 | -0,207295 |
Seuraavassa taulukossa on esitetty todennäköisyydet saada 0–6 pistettä niin monella merkitsevällä numerolla kuin Excel pystyy käsittelemään.
Tulivedon todennäköisyydet
| Tehdyt pisteet | Todennäköisyys |
|---|---|
| 0 | 0.59393939393939394 |
| 1 | 0.260750492003903 |
| 2 | 0.101275355549231 |
| 3 | 0.0334342121788456 |
| 4 | 0.00879817844040312 |
| 5 | 0.00163993313895325 |
| 6 | 0.000162434749269826 |
Minulta kysytään usein, miten yllä olevat todennäköisyydet lasketaan. Se on haastava matemaattinen tehtävä. Alla listaan tapoja ratkaista todennäköisyys saada mikä tahansa määrä pisteitä nollasta kuuteen.
Satunnainen simulointi
Satunnainen simulaatio on helpoin tapa analysoida Fire Betiä. Nykyaikaisten tietokoneiden nopeuden ansiosta se on myös erittäin tarkka. Vain matemaattisimmat puristit (kuten minä) pyrkivät tarkkaan ratkaisuun. Seuraava taulukko näyttää lähes 40 miljardin Fire-vedon simulaation tulokset maksutaulukkoa A vasten. Oikeassa alakulmassa näkyy talon etu 20,7531 %. Todellinen talon etu on 20,7628 %, joten simulaation tarkkuus oli 0,01 % tuotosta.
Tulivedon simulointi
| Tehdyt pisteet | Maksaa | Voitot | Todennäköisyys | Palata |
|---|---|---|---|---|
| 6 | 999 | 6 452 452 | 0,000162 | 0,162257 |
| 5 | 249 | 65 165 019 | 0.001640 | 0.408438 |
| 4 | 24 | 349 553 690 | 0,008799 | 0.211173 |
| 3 | -1 | 1 328 267 592 | 0,033435 | -0,033435 |
| 2 | -1 | 4 023 371 732 | 0.101275 | -0,101275 |
| 1 | -1 | 10 358 742 102 | 0,260747 | -0,260747 |
| 0 | -1 | 23 595 605 529 | 0,593941 | -0,593941 |
| Kokonais | 39 727 158 116 | 1.000000 | -0,207531 |
Markov-ketju
Yksi tapa laskea Fire Betin todennäköisyys tarkasti on Markov-ketju. Tämä tarkoittaa todennäköisyyden laskemista minkä tahansa tulevan pisteiden määrän saavuttamiseksi, kun otetaan huomioon mikä tahansa 64 mahdollisesta jo saavutetusta pistemäärästä. Lasku on melko helppoa loppua kohden, sillä kaikkien kuuden saavuttamiseen tarvitaan vain yksi piste lisää. Sitten palataan ensimmäisen heiton alkutilaan.
Tämä ensimmäinen tila on taulukon ensimmäinen rivi, sarakeotsikoita laskematta. Se näyttää yllä näkyvät todennäköisyydet minkä tahansa pisteiden määrän saavuttamiselle 0:sta 6:een.
Tulivedon Markov-ketju
| Pisteet Jo Valmistettu | Todennäköisyys 0 pistettä | Todennäköisyys 1 pistettä | Todennäköisyys 2 pistettä | Todennäköisyys 3 pistettä | Todennäköisyys 4 pistettä | Todennäköisyys 5 pistettä | Todennäköisyys 6 pistettä |
|---|---|---|---|---|---|---|---|
| Ei mitään | 0,593939 | 0,260750 | 0.101275 | 0,033434 | 0,008798 | 0.001640 | 0,000162 |
| 10 | 0.000000 | 0,619763 | 0,256759 | 0,091331 | 0,026183 | 0,005375 | 0,000589 |
| 9 | 0.000000 | 0,636364 | 0,252138 | 0,084540 | 0,022402 | 0,004153 | 0.000404 |
| 9,10 | 0.000000 | 0.000000 | 0,666100 | 0,244772 | 0,072316 | 0,015152 | 0,001660 |
| 8 | 0.000000 | 0,656067 | 0,244255 | 0,076831 | 0,019163 | 0,003370 | 0.000314 |
| 8,10 | 0.000000 | 0.000000 | 0.687719 | 0,234612 | 0,063990 | 0,012405 | 0,001274 |
| 8,9 | 0.000000 | 0.000000 | 0.708220 | 0,225365 | 0,055933 | 0,009618 | 0.000864 |
| 8, 9, 10 | 0.000000 | 0.000000 | 0.000000 | 0,745247 | 0,209635 | 0,041004 | 0,004114 |
| 6 | 0.000000 | 0,656067 | 0,244255 | 0,076831 | 0,019163 | 0,003370 | 0.000314 |
| 6,10 | 0.000000 | 0.000000 | 0.687719 | 0,234612 | 0,063990 | 0,012405 | 0,001274 |
| 6,9 | 0.000000 | 0.000000 | 0.708220 | 0,225365 | 0,055933 | 0,009618 | 0.000864 |
| 6, 9, 10 | 0.000000 | 0.000000 | 0.000000 | 0,745247 | 0,209635 | 0,041004 | 0,004114 |
| 6,8 | 0.000000 | 0.000000 | 0.732710 | 0,210728 | 0,048135 | 0,007762 | 0,000665 |
| 6, 8, 10 | 0.000000 | 0.000000 | 0.000000 | 0,772414 | 0.190903 | 0,033563 | 0,003120 |
| 6,8,9 | 0.000000 | 0.000000 | 0.000000 | 0,798371 | 0,173323 | 0,026215 | 0,002091 |
| 6, 8, 9, 10 | 0.000000 | 0.000000 | 0.000000 | 0.000000 | 0,845739 | 0.142050 | 0.012211 |
| 5 | 0.000000 | 0,636364 | 0,252138 | 0,084540 | 0.022402 | 0,004153 | 0.000404 |
| 5,10 | 0.000000 | 0.000000 | 0,666100 | 0,244772 | 0,072316 | 0,015152 | 0,001660 |
| 5,9 | 0.000000 | 0.000000 | 0,685315 | 0,237358 | 0,064328 | 0,011875 | 0.001124 |
| 5, 9, 10 | 0.000000 | 0.000000 | 0.000000 | 0,719927 | 0,224997 | 0,049645 | 0,005432 |
| 5,8 | 0.000000 | 0.000000 | 0.708220 | 0,225365 | 0,055933 | 0,009618 | 0.000864 |
| 5, 8, 10 | 0.000000 | 0.000000 | 0.000000 | 0,745247 | 0,209635 | 0,041004 | 0,004114 |
| 5,8,9 | 0.000000 | 0.000000 | 0.000000 | 0,769382 | 0,195368 | 0,032496 | 0,002754 |
| 5, 8, 9, 10 | 0.000000 | 0.000000 | 0.000000 | 0.000000 | 0,813278 | 0,170376 | 0,016346 |
| 5,6 | 0.000000 | 0.000000 | 0.708220 | 0,225365 | 0,055933 | 0,009618 | 0.000864 |
| 5, 6, 10 | 0.000000 | 0.000000 | 0.000000 | 0,745247 | 0,209635 | 0,041004 | 0,004114 |
| 5, 6, 9 | 0.000000 | 0.000000 | 0.000000 | 0,769382 | 0,195368 | 0,032496 | 0,002754 |
| 5, 6, 9, 10 | 0.000000 | 0.000000 | 0.000000 | 0.000000 | 0,813278 | 0,170376 | 0,016346 |
| 5, 6, 8 | 0.000000 | 0.000000 | 0.000000 | 0,798371 | 0,173323 | 0,026215 | 0,002091 |
| 5, 6, 8, 10 | 0.000000 | 0.000000 | 0.000000 | 0.000000 | 0,845739 | 0.142050 | 0.012211 |
| 5, 6, 8, 9 | 0.000000 | 0.000000 | 0.000000 | 0.000000 | 0,876957 | 0,114977 | 0,008066 |
| 5, 6, 8, 9, 10 | 0.000000 | 0.000000 | 0.000000 | 0.000000 | 0.000000 | 0,934446 | 0,065554 |
| 4 | 0.000000 | 0,619763 | 0,256759 | 0,091331 | 0,026183 | 0,005375 | 0,000589 |
| 4,10 | 0.000000 | 0.000000 | 0,647934 | 0,250930 | 0,079930 | 0,018752 | 0,002454 |
| 4,9 | 0.000000 | 0.000000 | 0,666100 | 0,244772 | 0,072316 | 0,015152 | 0,001660 |
| 4, 9, 10 | 0.000000 | 0.000000 | 0.000000 | 0,698752 | 0,234682 | 0,058434 | 0,008131 |
| 4,8 | 0.000000 | 0.000000 | 0.687719 | 0,234612 | 0,063990 | 0,012405 | 0,001274 |
| 4, 8, 10 | 0.000000 | 0.000000 | 0.000000 | 0,722581 | 0,221643 | 0,049624 | 0,006153 |
| 4,8,9 | 0.000000 | 0.000000 | 0.000000 | 0,745247 | 0,209635 | 0,041004 | 0,004114 |
| 4, 8, 9, 10 | 0.000000 | 0.000000 | 0.000000 | 0.000000 | 0,786359 | 0.188851 | 0,024790 |
| 4,6 | 0.000000 | 0.000000 | 0.687719 | 0,234612 | 0,063990 | 0,012405 | 0,001274 |
| 4, 6, 10 | 0.000000 | 0.000000 | 0.000000 | 0,722581 | 0,221643 | 0,049624 | 0,006153 |
| 4,6,9 | 0.000000 | 0.000000 | 0.000000 | 0,745247 | 0,209635 | 0,041004 | 0,004114 |
| 4, 6, 9, 10 | 0.000000 | 0.000000 | 0.000000 | 0.000000 | 0,786359 | 0.188851 | 0,024790 |
| 4,6,8 | 0.000000 | 0.000000 | 0.000000 | 0,772414 | 0.190903 | 0,033563 | 0,003120 |
| 4, 6, 8, 10 | 0.000000 | 0.000000 | 0.000000 | 0.000000 | 0,816667 | 0,164832 | 0,018502 |
| 4, 6, 8, 9 | 0.000000 | 0.000000 | 0.000000 | 0.000000 | 0,845739 | 0.142050 | 0.012211 |
| 4, 6, 8, 9, 10 | 0.000000 | 0.000000 | 0.000000 | 0.000000 | 0.000000 | 0.899083 | 0.100917 |
| 4,5 | 0.000000 | 0.000000 | 0,666100 | 0,244772 | 0,072316 | 0,015152 | 0,001660 |
| 4, 5, 10 | 0.000000 | 0.000000 | 0.000000 | 0,698752 | 0,234682 | 0,058434 | 0,008131 |
| 4,5,9 | 0.000000 | 0.000000 | 0.000000 | 0,719927 | 0,224997 | 0,049645 | 0,005432 |
| 4, 5, 9, 10 | 0.000000 | 0.000000 | 0.000000 | 0.000000 | 0,758221 | 0.208531 | 0,033248 |
| 4,5,8 | 0.000000 | 0.000000 | 0.000000 | 0,745247 | 0,209635 | 0,041004 | 0,004114 |
| 4, 5, 8, 10 | 0.000000 | 0.000000 | 0.000000 | 0.000000 | 0,786359 | 0.188851 | 0,024790 |
| 4, 5, 8, 9 | 0.000000 | 0.000000 | 0.000000 | 0.000000 | 0,813278 | 0,170376 | 0,016346 |
| 4, 5, 8, 9, 10 | 0.000000 | 0.000000 | 0.000000 | 0.000000 | 0.000000 | 0,862486 | 0.137514 |
| 4,5,6 | 0.000000 | 0.000000 | 0.000000 | 0,745247 | 0,209635 | 0,041004 | 0,004114 |
| 4, 5, 6, 10 | 0.000000 | 0.000000 | 0.000000 | 0.000000 | 0,786359 | 0.188851 | 0,024790 |
| 4, 5, 6, 9 | 0.000000 | 0.000000 | 0.000000 | 0.000000 | 0,813278 | 0,170376 | 0,016346 |
| 4, 5, 6, 9, 10 | 0.000000 | 0.000000 | 0.000000 | 0.000000 | 0.000000 | 0,862486 | 0.137514 |
| 4, 5, 6, 8 | 0.000000 | 0.000000 | 0.000000 | 0.000000 | 0,845739 | 0.142050 | 0.012211 |
| 4, 5, 6, 8, 10 | 0.000000 | 0.000000 | 0.000000 | 0.000000 | 0.000000 | 0.899083 | 0.100917 |
| 4, 5, 6, 8, 9 | 0.000000 | 0.000000 | 0.000000 | 0.000000 | 0.000000 | 0.934446 | 0,065554 |
| 4, 5, 6, 8, 9, 10 | 0.000000 | 0.000000 | 0.000000 | 0.000000 | 0.000000 | 0.000000 | 1.000000 |
Jos aiot yrittää toistaa työni, tässä on vinkkejä tilasta toiseen siirtymiseen. Aloita loppuvaiheen tiloista, joissa ampuja on jo tehnyt 5 pistettä. Esimerkiksi, jos ampuja tarvitsee vain 4, voi tapahtua kolme asiaa: (1) Hän vahvistaa ja tekee 4, (2) Hän vahvistaa ja tekee jo tekemänsä asian, (3) Hän lyö seitsemän ulos. (1):n todennäköisyys on (3/24)*(1/3) = 1/24 = 0,041667. (2):n todennäköisyys on (4/24)*(2/5) + (5/24)*(5/11) + (5/24)*(5/11) + (4/24)*(2/5) + (3/24)*(1/3) = 0,364394. Todennäköisyys tapahtumalle (3) on 1 - 0,041667 - 0,364394 = 0,593939. Lopulta tapahtuma (1) tai (3) tapahtuu. Todennäköisyys sille, että (1) tapahtuu ennen tapahtumaa (3), on 0,041667/(0,041667+0,593939) = 0,065554. Työskentele rekursiivisesti takaisin lähtöpisteeseen. Tämä on joko aikaa vievää, tarpeetonta ja tylsää, tai voit tehdä sen taulukkolaskentaohjelmassa automaattisesti.
Differentiaali- ja integraalilaskenta
Ensimmäinen vaihe tässä menetelmässä on laskea kaikkien seitsemän mahdollisen asiaankuuluvan pass line -panoksen todennäköisyys pisteen muodostumisen jälkeen. Voimme jättää huomiotta 12 yhdistelmää eli 1/3 mahdollisuuden pelaajan voittamiseen tai häviämiseen välittömästi come out -heitolla, koska näillä tapahtumilla ei ole merkitystä Fire Bet -panoksen kannalta. Joten ensimmäinen heitto perustuu 24 mahdolliseen yhdistelmään 36:n sijaan.
- 4:n pisteen suoritus ja voitto = (3/24) × (3/9) = 1/24 = noin 4,17 %
- 5:n pistemäärä saavutettu ja voitettu = (4/24) × (4/10) = 1/15 = noin 6,67 %
- 6-pisteen suoritus ja voitto = (5/24) × (5/11) = 25/264 = noin 9,47 %
- 8:n pistemäärä saavutettu ja voitettu = (5/24) × (5/11) = 25/264 = noin 9,47 %
- Piste 9 suoritettu ja voitettu = (4/24) × (4/10) = 1/15 = noin 6,67 %
- Kymmenen pisteen suoritus ja voitto = (3/24) × (3/9) = 1/24 = noin 4,17 %
- Mikä tahansa tehty piste ja 7-ulos = 2 × ((3/24) × (6/9)) + 2 × ((4/24) × (6/10)) + 2 × ((5/24) × (6/11)) = 98/165 = noin 59,39 %
Huomaa, että näiden todennäköisyyksien summa on 1.
Seuraavaksi, sen sijaan, että Fire Bet ratkeaisi kahden nopan heitolla, yksi heitto kerrallaan, oletetaan tapahtumien välinen aika satunnaisena, tapahtumien välisen ajan noudattaessa eksponentiaalista jakaumaa, jonka keskiarvo on yksi aikayksikkö. Jos tapahtuma todella tapahtuu, kyseinen tapahtuma noudattaa juuri laskemiamme craps-todennäköisyyksiä.
Esimerkiksi pisteen 4 voiton todennäköisyys on 1/24. Näin ollen pisteen 4 voittojen välinen aika on keskimäärin 24 yksikköä. Todennäköisyys sille, että x aikayksikköä ei saavuteta pisteen 10 voittoa, on exp(-x/24). Korrektiosti sanottuna ainakin yhden pisteen 10 voiton todennäköisyys x aikayksikössä on 1-exp(-x/24).
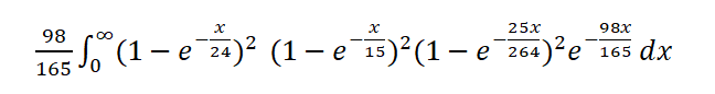
Tulivedon ratkaisemiseksi ei ole väliä, kuinka kauan tapahtumien välillä kuluu aikaa – ainoastaan sillä, mitä tapahtumat ovat. Joten voimme integroida koko ajan vedon voittajaksi seuraavasti:

Selitänpä, mitä tuo integraali tarkoittaa. Se on todennäköisyys sille, että x aikayksikön kuluttua jokaisesta pisteestä on tullut ainakin yksi voitto, mutta ei 7. Koska pisteen 4 ja pisteen 10 voiton todennäköisyys on sama, voimme korottaa pisteen 4 voiton todennäköisyyden neliöön. Sama pätee kuin 5:een ja 9:ään sekä 6:een ja 8:aan. Lopuksi kerromme koko summan 98/165:llä, joka on seitsemän ulos -tuloksen todennäköisyys, sulkeaksemme vedon. Jos emme tekisi niin, pelaajalle saatettaisiin maksaa useista päällekkäisistä voitoista.
Tämän integrointi käsin olisi erittäin työlästä ja virhealtista. Onneksi on olemassa integraalilaskimia . Käyttääksesi sellaista tähän tehtävään, napsauta linkkiä ja kirjoita seuraava yläreunassa olevaan tekstikenttään: (1-exp(-x/24))^2*(1-exp(-x/15))^2*(1-exp(-25x/264))^2*exp(-98x/165)/(165/98). Napsauta sitten asetuksia ja aseta alarajaksi 0 ja ylärajaksi ääretön. Napsauta sitten Siirry.
Ennen integroinnin rajojen tarkastelua vastaus on (98*(-(165*e^(-(98*x)/165))/98+(2640*e^(-(839*x)/1320))/839+(330*e^(-(109*x)/165))/109-(220*e^(-(149*x)/220))/149+(880*e^(-(303*x)/440))/303-(1760*e^(-(309*x)/440))/309-(11* e^(-(8*x)/11))/8-(1320*e^(-(241*x)/330))/241+(1320*e^(-(491*x)/660))/491-(5280*e^(-(99) 7*x)/1320))/997+(528*e^(-(203*x)/264))/203+(2640*e^(-(1019*x)/1320))/1019-(60*e^(-(47*x) )/60))/47+(2640*e^(-(263*x)/330))/263-(132*e^(-(107*x)/132))/107+(528*e^(-(217*x)/264) )/217+(80*e^(-(33*x)/40))/33-(1760*e^(-(369*x)/440))/369+(40*e^(-(17*x)/20))/17-(88*e^( -(19*x)/22))/19-(15*e^(-(13*x)/15))/13-(480*e^(-(107*x)/120))/107+(528*e^(-(239*x)/264) )/239-(12*e^(-(11*x)/12))/11+(15*e^(-(14*x)/15))/7+(48*e^(-(23*x)/24))/23-e^(-x)))/165.
Onneksi tuo laskin sallii integroinnin rajat ja antaa ratkaisuksi 3700403899126040038831518494284887738125 / 22780863797678919004236184338193605974839452, joka on suunnilleen yhtä suuri kuin 0,0001624347492698264.
Tietenkin tuo on vain kaikkien kuuden pisteen todennäköisyys, mutta samaa logiikkaa voitaisiin käyttää minkä tahansa pisteiden määrän todennäköisyyden löytämiseen. Jätän sen lukijan harjoitukseksi ;-).
Ulkoiset linkit
- Fire Bet -matematiikasta keskustellaan kumppanisivustollani Wizard of Vegas.
- Katso oma laskentataulukkoni , jonka julkaisin GoogleDocsissa kaikkien ladattavaksi.
- Stwart N. Ethierin teoksessa The Doctrine of Chances: Probabilistic Aspects of Gambling (Sattumien oppi: Uhkapelaamisen todennäköisyysnäkökohdat) käsitellään tulivedonlyöntimatematiikkaa.
Kiitokset
Haluan kiittää Wizard of Vegas -foorumin jäsentä Ace2:ta hänen väsymättömistä neuvoistaan Fire Betin todennäköisyyden ratkaisemisessa integroinnin avulla.